细粒度对齐无需仔细标注了!淘天提出视觉锚定奖励,自我校准实现多模态对齐

2025-01-19 12:07:00
刘大牛
转自文章
757
图片
AIxiv专栏是人工智能站发布学术、技术内容的栏目。过去数年,人工智能站AIxiv专栏接收报道了2000多篇内容,覆盖全球各大高校与企业的顶级实验室,有效促进了学术交流与传播。如果您有优秀的工作想要分享,欢迎投稿或者联系报道。投稿邮箱:liyazhou@jiqizhixin.com;zhaoyunfeng@jiqizhixin.com


核心作者包括顾纪豪,王瑛瑶。工作由淘天集团算法技术 - 未来生活实验室团队主要完成。为了建设面向未来的生活和消费方式,进一步提升用户体验和商家经营效果,淘天集团集中算力、数据和顶尖的技术人才,成立未来生活实验室。实验室聚焦大模型、多模态等 AI 技术方向,致力于打造大模型相关基础算法、模型能力和各类 AI Native 应用,引领 AI 在生活消费领域的技术创新。


近年来,视觉大模型(Large Vision Language Models, LVLMs)领域经历了迅猛的发展,这些模型在图像理解、视觉对话以及其他跨模态任务中展现出了卓越的能力。然而,随着 LVLMs 复杂性和能力的增长,「幻觉现象」的挑战也日益凸显。


为有效缓解 LVLMs 中的幻觉现象,团队提出了一种创新的令牌级偏好对齐方法(Token Preference Optimization,TPO),针对性设计了一个能够 自我校准的视觉锚定奖励信号


该方法首次在多模态偏好对齐领域实现了自动校准奖励,优化每个令牌生成时与视觉信息的相关性。同时,它也是多模态领域首个无需人工细粒度标注的令牌级偏好优化方法,从而提升了模型的优化效率和自动化水平。
图片
  • 论文标题:Token Preference Optimization with Self-Calibrated Visual-Anchored Rewards for Hallucination Mitigation
  • 作者单位:阿里巴巴淘天集团 & MBZUAI
  • 论文链接:https://arxiv.org/pdf/2412.14487


背景


现如今的 DPO 方法通过直接对齐人类偏好,在缓解大型视觉语言模型幻觉问题方面取得了显著成效。然而它仍然面临两个问题:


  • 缺少高效和可扩展的 token-level 的奖励信号:如图 1 所示,现有的多模态偏好对齐方法要么使用 sequence-level 的奖励,要么需要通过细粒度标注获得 token- level 的监督信号。因此,设计一个高效且可扩展的 token-level 的监督信号非常重要。
  • 在训练的过程中忽略了视觉锚定的 tokens(visual-anchored tokens)对所有 token 分配相同的奖励是低效的,依赖视觉信息生成的 tokens 更容易产生幻觉并需要重点对待(如图 2 中的 glass)。
图片
图 1:TPO 方法和其它消除幻觉的 DPO 改进方法的对比。比较了是否关注视觉锚定信息,是否生成 token-level 的监督信号和是否需要细粒度标注。比较的方法包括 DPO、POVID、CSR、RLHF-V、V-DPO 和论文中的方法 TPO。


为了解决上述问题,TPO 具有如下特点:


  • 自动识别偏好数据中的视觉锚定 token,无需人工细粒度标注。
  • 在每个训练步自动地分配 token-level 的奖励,该奖励可以反映当前 token 对图片信息的依赖程度。


图 2 可视化了 TPO 训练前后的 ground truth 及模型回复的视觉锚定奖励。可以看到,我们的方法有效地找到了视觉锚定的 tokens,并能够在训练之后增强模型对视觉信息的关联。
图片
图 2:一个视觉 QA 对的例子以及 TPO 对视觉信息锚定程度的打分可视化,上面的框是 GT_answer,下面的框是 LVLM 在使用 TPO 训练前后的回复。在每一个框中,上方是 TPO 训练前的打分,下方则是训练后的打分。


方法
图片
                                       图 3:TPO 的整体流程


TPO 整体流程


(以下步骤中的数据包含输入 x,图像 v 和正负样本 y_w,y_l。当不强调正样本或负样本时,统称为 y.)


1. 自校准的视觉锚定奖励生成
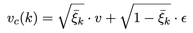
TPO 通过捕捉在图像是否加噪时每个生成 token 的生成概率差的变化来衡量其视觉锚定程度, 首先对输入图像进行加噪处理
图片
这里 ε ∈ N(0,1), 图片图片是提前设置好的噪声参数,是含有 1000 个元素呈等差数列的列表。k 代表加噪步数。


在获得了加噪图像之后计算 图片,用来反映每个 token 的视觉锚定程度。它可以在每个训练步中的自动更新,对于 y 中的每一个 token 图片
图片
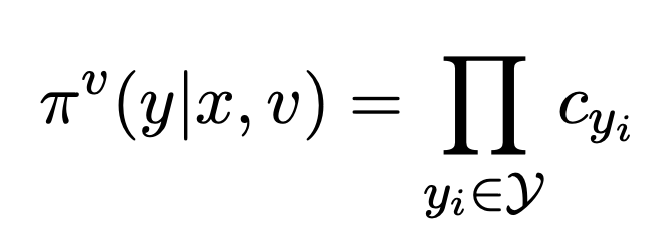
进一步地,在此引入自我校准的过程获得最终的监督信号。这一步的目的是为正负样本分配相应奖励的同时,能够对二者中所有视觉锚定 token 进行视觉信息关联度的优化。最终的视觉监督信号被定义为:
图片
通过 sigmoid 归一化, 图片。可以看出,对于正样本,监督信号 c 随 s 的增大而增大,对于负样本则相反。由于当  图片 时,该 token 没有锚定视觉信息,无监督信号,此时设置 a=0.5, s=0,则 c=1,监督信号将不发挥作用。


TPO 训练


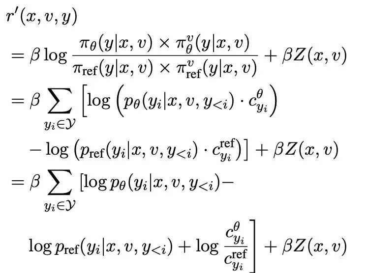
在获得了自校准的视觉锚定信号 图片之后,可以根据 DPO 方式定义新的 视觉锚定分布
图片
则反馈函数为:
图片
其中 图片图片分别代表来自 policy 模型和 reference 模型的反馈信号。可以看到,相对于原始的 DPO,该团队在此基础上为每一个 token 加入了监督信号 图片,而且 图片可以在训练过程中的每一个 step 中迭代,达到自我校准的目的。


TPO 在反馈函数中引入了 图片,该项可以推导出合理的上下界。由于正负样本不同的 图片计算方法,在训练过程中会让 图片不断增大,让模型输出锚定更多的视觉信息。


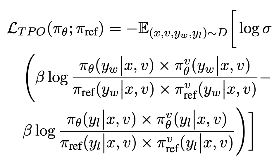
最终得到 TPO 的优化目标为:
图片
实验结果


实验设置


  • 基础模型:LLaVA-1.5(7B)/(13B)。
  • 数据:RLHF-V(5k)。
  • Benchmark:幻觉评测集 AMBER、MMHal、HallusionBench,通用评测集 SeedBench、MMBench、LLaVA-Bench 及 MM-Vet。


主实验结果
图片
图 4:各种强化学习方法在 LLaVA-1.5 上测试的在幻觉和通用 benchmarks 上的实验效果,其中 POVID 和 CSR 方法的结果是根据开源的模型权重测试的效果,V-DPO 的结果来自该文章的结果。


  • TPO 在 LLaVA-1.5(7B)/(13B)模型上均带来非常显著的幻觉缓解效果,在大部分幻觉指标上超越了现有的偏好对齐幻觉缓解方法。
  • 在 HallusionBench 中,easy 代表基于原图问答,hard 代表基于人工编辑的反事实图片问答。我们的方相较于初始模型在 hard 问题上取得了更显著的提高,说明在 TPO 后,答案生成更依赖于视觉信息而非语言模型先验知识。


消融实验


  • 图像加噪的 steps 数量:如图 5 显示,加噪步数设置为 500 最优。
  • 奖励自校准中的 a: a=0.5 最优,即当 s=0 时,c=1 时,不分配奖励信号。
图片
                                       图 5: 各指标随着加入噪声步数和参数 a 的变化趋势


  • 奖励分配方式:只为正样本或负样本单独引入 TPO 的奖励,也可取得较优的对齐效果,但同时分配获得最优表现。调换正负样本中 token 获取的奖励和其视觉锚定程度的相关性,TPO 表现变差。
图片
                                     图 6: 消融实验


分析实验


  • Attention 分析:图 7 展示了在 TPO 训练前后,模型回复中每个 token 对图像 token 的 attention 分数加和的分布。可以看到,TPO 训练可以拉高模型回复对图像信息的关联程度,锚定更多图像信息,进而缓解幻觉问题。
图片
                                        图 7:attention weights 对比图,左边蓝色的是训练前模型回答错误的回复,右边红色的是训练后模型回答正确的回复。


  • 奖励自校准分析:图 8 展示了正负样本的监督信号 c 随训练 step 的变换,证明了 TPO 在不断自我校准奖励的过程中,让模型逐渐关注到更多的图像信息。
图片
                                     图 8: 正负样本的 c 随训练 step 得变化过程


淘天集团算法技术 - 未来生活实验室团队将持续深耕强化学习领域,为解决多模态幻觉问题贡献力量。
工程 TPO
发表评论
评论通过审核后显示。
文章分类
联系我们
联系人: 透明七彩巨人
Email: weok168@gmail.com
网址: ai.tmqcjr.com