语言模型新范式:首个8B扩散大语言模型LLaDA发布,性能比肩LLaMA 3

2025-02-17 13:25:00
刘大牛
转自文章
702
图片
AIxiv专栏是人工智能站发布学术、技术内容的栏目。过去数年,人工智能站AIxiv专栏接收报道了2000多篇内容,覆盖全球各大高校与企业的顶级实验室,有效促进了学术交流与传播。如果您有优秀的工作想要分享,欢迎投稿或者联系报道。投稿邮箱:liyazhou@jiqizhixin.com;zhaoyunfeng@jiqizhixin.com


本文由中国人民大学高瓴人工智能学院李崇轩、文继荣教授团队和蚂蚁集团共同完成。共同一作聂燊和朱峰琪是中国人民大学高瓴人工智能学院的博士生,导师为李崇轩副教授,论文为二者在蚂蚁实习期间完成。蚂蚁集团张晓露、胡俊,人民大学林衍凯、李崇轩为共同项目负责人。李崇轩副教授为唯一通讯作者。LLaDA 基于李崇轩课题组的前期工作 RADD  [1]  和 SMDM  [2] 。目前这两篇论文均已被 ICLR2025 接收。


近年来,大语言模型(LLMs)取得了突破性进展,展现了诸如上下文学习、指令遵循、推理和多轮对话等能力。目前,普遍的观点认为其成功依赖于自回归模型的「next token prediction」范式。这种方法通过预测下一个词的方式拆解语言联合概率,形式化如下:
图片
最近,人大高瓴李崇轩、文继荣团队和蚂蚁集团的研究员提出了一种新的洞察:大语言模型展现的语言智能(如上下文学习、指令遵循、推理和多轮对话等能力)并非自回归机制独有,而在于背后所遵循的生成建模原则,即通过最大似然估计(或最小化 KL 散度)来逼近真实语言分布。
图片正是基于这一理念,团队开发了 LLaDA(Large Language Diffusion with mAsking)—— 一种基于掩码扩散模型的语言生成方法。与传统自回归模型不同,LLaDA 采用了前向掩码加噪和反向去噪的机制,不仅突破了单向生成的局限,还通过优化似然下界,提供了一种不同于自回归的、原理严谨的概率建模方案。


通过大规模实验,LLaDA 8B 在可扩展性、下游语言任务中全面媲美现代大语言模型,如 Llama3 8B。这些结果一定程度上表明,LLMs 的核心能力(如可扩展性、上下文学习和指令遵循)并非自回归模型独有,而是源自于合理的生成建模策略和充分的模型数据规模。LLaDA 不仅提出了一种新的大语言模型的概率建模框架,也有助于我们进一步理解语言智能。
图片
  • 论文链接:https://arxiv.org/abs/2502.09992
  • 项目地址:https://ml-gsai.github.io/LLaDA-demo/
  • 代码仓库:https://github.com/ML-GSAI/LLaDA


团队预计近期开源推理代码和 LLaDA 8B Base 权重,后续还将开源 LLaDA 8B Instruct 权重。


性能展示


卓越的可扩展性。在多个语言任务上,LLaDA 和自回归模型基线进行了严格对比。实验表明,在相同的数据条件下,LLaDA 在 MMLU、GSM8K 等多个任务上展现了与自回归模型相当的表现,证明了其在高计算成本下的强大扩展能力。即使在某些相对薄弱的任务上,随着模型规模的增大,LLaDA 也能迅速缩小与自回归模型之间的性能差距。
图片
出色的上下文学习与指令遵循能力。在涵盖 15 个热门基准测试(包括通用任务、数学、代码及中文任务)的评测中,预训练了 2.3T tokens 的 LLaDA 8B Base 模型凭借强大的 zero/few-shot 学习能力,整体表现超越了 LLaMA2 7B Base (预训练 tokens 2T),并与 LLaMA3 8B Base (预训练 tokens 15T)媲美。在经过监督微调(SFT)后,LLaDA 的指令遵循能力得到了显著提升,能在多轮对话及跨语种生成任务中保持连贯性和高质量输出,充分展现了其对复杂语言指令的良好理解和响应能力。


下图是在一些热门基准上 LLaDA 和 LLaMA3 以及 LLaMA2 的性能对比,详细结果请参见论文。
图片
图片
平衡的正向与逆向推理能力。传统自回归模型在逆向推理任务中常常存在「逆向诅咒」[3] 问题,好比当模型在「A is B」数据上训练之后无法回答「B is A」。而 LLaDA 则通过双向的概率建模机制,有效克服了这一局限。在诗歌补全任务中,LLaDA 在正向生成与逆向生成上均取得了均衡表现,尤其在逆向任务中明显超越了 GPT-4o 和其他对比模型,展现了强大的逆向推理能力。
图片
多场景下的实际应用效果。除了标准测试指标外,我们在多轮对话、数学题解和跨语言文本生成等实际应用场景中也看到了 LLaDA 的出色表现。无论是复杂问题求解、指令翻译,还是创意诗歌生成,LLaDA 都能准确把握上下文并生成流畅、合理的回答,充分验证了其在非自回归生成模式下的应用前景。


下图是 LLaDA 在回答用户提问的一个例子,用户输入的 prompt 是「Explain what artificial intelligence is」。LLaDA 采取了一种不同于自回归模型从左到右的生成方式。
图片
下图是 LLaDA 同用户进行多轮对话的场景。LLaDA 不仅正确回答了诗歌《未选择的路》的前两句,而且成功将英文翻译成中文和德语,并且按照用户要求创作了一首五行,且每一行均以字母 C 开头的诗歌。
图片
核心方法


下图展示了 LLaDA 的预训练、监督微调以及采样过程。
图片
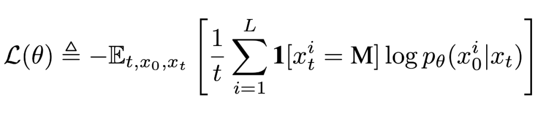
概率建模框架。LLaDA 通过前向过程和反向过程来定义模型分布 图片。在前向过程中,对文本 图片中的 tokens 进行逐步独立掩码,直到在  t=1 时整个序列被完全掩码。当 图片时,序列 图片是部分掩码的,每个 token 有概率 t 被掩码,或者以概率 1-t 保留原样。而反向过程则通过在 t 从 1 逐步减小到 0 的过程中反复预测被掩码的 tokens,从而恢复出数据分布。LLaDA 的核心是一个参数化的掩码预测器 图片,其训练目标仅对被掩码部分计算交叉熵损失:
图片
前期工作 [2] 已证明该目标函数为负对数似然的上界,从而为生成建模提供了严格的理论依据。


预训练。LLaDA 使用 Transformer 作为掩码预测器,并且不采用因果掩码,从而能够利用全局信息进行预测。预训练在 2.3 万亿 tokens 的数据上进行,这些数据涵盖通用文本、代码、数学以及多语言内容。对于每个训练序列  图片,先随机采样  图片,然后以相同概率 t 对每个 token 进行独立掩码得到  图片,并通过蒙特卡罗方法估计目标函数 图片进行优化。为增强对变长数据的处理能力,部分数据采用了随机长度。LLaDA 采用 Warmup-Stable-Decay 学习率调度器和 AdamW 优化器,设置总批量大小为 1280(每 GPU 4)。


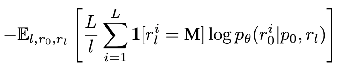
监督微调(SFT)。为了提升模型的指令遵循能力,LLaDA 在监督微调阶段使用成对数据 图片进行训练,其中 图片为提示, 图片为响应。在 SFT 中保持提示 图片 不变,对响应 图片 进行独立掩码生成 ,然后计算如下损失:
图片
其中 图片为响应的动态长度。整个过程与预训练一致,只是所有被掩码的 token 均来自响应部分。SFT 在 450 万对数据上进行,使用类似预训练的学习率调度和优化器设置。


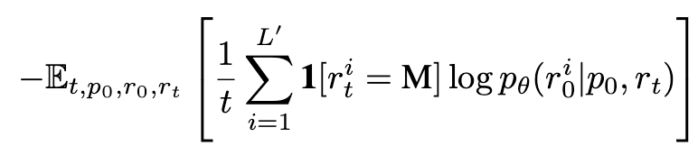
推断。给定提示 图片 ,模型从完全掩码的响应开始,通过离散化的反向过程逐步恢复文本。在每一步,模型预测所有被掩码 token 后,会按一定比例对部分预测结果进行再掩码,以保证反向过程与前向过程一致。对于条件似然评估,LLaDA 使用了下面这个和 图片等价但是方差更小的目标函数:
图片
其中  l 是从 图片 中均匀采样得到, 图片是通过从  图片中不放回地均匀采样  l  个 token 进行掩码得到。


总结

扩散语言模型 LLaDA 首次展示了通过前向掩码加噪与反向去噪机制,同样可以实现大语言模型的核心能力。实验表明,LLaDA 在可扩展性、上下文学习和指令遵循等方面表现优异,具备与传统自回归模型相媲美甚至更优的性能,同时其双向生成与增强的鲁棒性有效突破了自回归建模的固有限制,从而挑战了「大语言模型的智能必然依赖自回归生成」的传统观念。

参考文献
[1] Ou J, Nie S, Xue K, et al. Your Absorbing Discrete Diffusion Secretly Models the Conditional Distributions of Clean Data. To appear in ICLR, 2025.
[2] Nie S, Zhu F, Du C, et al. Scaling up Masked Diffusion Models on Text. To appear in ICLR, 2025.
[3] Berglund L, Tong M, Kaufmann M, et al. The reversal curse: Llms trained on"a is b" fail to learn"b is a"[J]. arXiv preprint arXiv:2309.12288, 2023.
产业 LLaDA
发表评论
评论通过审核后显示。
文章分类
联系我们
联系人: 透明七彩巨人
Email: weok168@gmail.com
网址: ai.tmqcjr.com