首个强化生成模型AbNovo实现多目标、多约束抗体从头设计,发表于ICLR 2025

2025-03-04 13:00:00
刘大牛
转自文章
721

图片

编辑 | ScienceAI

近期,上海交通大学医学院张海仓课题组联合中原人工智能产业技术研究院与中国科学院计算技术研究所,提出了一项名为AbNovo 的抗体设计新方法。该方法基于强化学习与深度扩散模型,能够在多目标、多约束条件下实现抗体从头设计。

该研究以「Multi-objective antibody design with constrained preference optimization」为题发表在国际机器学习顶会ICLR2025上。

图片

论文链接:https://openreview.net/forum?id=4ktJJBvvUd

背景介绍

抗体是免疫系统中的关键蛋白,能与特定靶抗原结合并触发 适应性免疫反应,在癌症、自身免疫缺陷及病毒感染等疾病治疗中具有重要地位。目前,全球范围内已批准应用了百余种抗体药物。
近年来,借助深度生成模型,计算抗体设计取得了长足进展,尤其在增强抗体-抗原结合亲和力方面成效显著。
然而,除了高亲和力之外,抗体还需具备多种理想的生物物理特性,例如稳定性、高靶标特异性以及低自聚合性等,才能实现更优的可开发性与临床安全性。
在湿实验中,传统的「后筛选」方法通常先生成一批抗体候选,再根据目标特性进行筛选和淘汰,但这样的策略效率低下,且难以保证设计到的抗体可同时满足所有指定约束。

AbNovo-利用约束偏好优化进行多目标抗体设计

为应对上述挑战,并进一步缩小计算设计与实际应用之间的差距,研究团队提出了 AbNovo 框架,率先将「带有约束的偏好优化」思想融入到多目标和多约束的抗体设计中,为研发多特性兼优的抗体提供了新思路。

图片

图 1:AbNovo的流程图

主要创新点

应用层面:AbNovo 通过强化学习和深度生成模型引入多目标、多约束的抗体设计思路,直接刻画实际药物研发过程中的生物物理约束。

算法层面:首次将「带约束偏好优化」从语言模型推广至基于扩散的生成模型,设计了相应训练算法,并给出了严谨的理论分析。

性能方面:为缓解抗体-抗原训练数据稀缺问题,AbNovo 还训练了大规模结构感知的蛋白质语言模型,从丰富的非抗体结构数据中学到通用规律,进一步降低过拟合风险。

多目标抗体设计的两阶段约束偏好优化框架

如图1 所示,AbNovo 在训练过程中包含两个主要阶段:

阶段 1 (基础模型): 使用多模态扩散模型来进行抗体序列和结构的联合设计,得到初步的抗体-抗原条件生成模型。具体地,对离散序列使用基于连续时间马尔可夫链(CTMC) 的扩散模型,对结构使用基于SE(3) 空间的扩散模型。

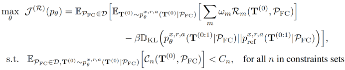
阶段 2(约束偏好优化 :使用约束偏好优化对阶段一中的基础模型进行微调。为了设计与目标抗原结合且同时满足其他生物物理特性的抗体,训练目标如下:

图片

网络不仅需要优化亲和力等相关指标,还需要满足物理化学性质的约束。与普通的多目标优化不同,带约束多目标优化在训练的过程中可以自动调节目标和约束之间的权重。在满足约束的同时,去最大化奖励函数,其拥有更好的约束满足性和更优的目标性能。

此外,该阶段以迭代方式进行,不断更新参考模型和策略模型,提高收敛效率和约束满足率。完整的训练过程如图 2 所示。

图片

图 2: 抗体设计的约束偏好优化算法

AbNovo的性能评测

图片

图 3:测试集中独立于参考的指标的评估

图片

图 4: 测试集中基于参考的指标的评估

为全面评估 AbNovo 的设计效果,论文从两大维度考察结果:

1. 物理化学性质相关的 指标 :物理化学性质相关的指标主要包含 Rosetta  结合能评估所设计抗体与靶抗原的结合亲和力。使用独立抗体语言模型下的概率似然来评估进化合理性。此外,论文考虑满足与自聚合、稳定性和非特异性结合相关的约束的生成抗体的比例(图 3);

2.基于 天然抗原抗 - 体复合物 参考的指标 :基于参考的指标评估设计抗体和天然抗体结构和序列之间的相似性。氨基酸恢复率(AAR)通过将生成的序列与天然序列进行比较来测量序列恢复的准确性;均方根偏差(RMSD)计算生成的结构和天然结构之间的偏差(图 4)。

AbNovo 和当前主流的抗体设计模型做了比较,例如 DiffAb、dyMEAN、GeoAb 和 AbX。在所有独立于参考的指标上的表现均优于所有基线方法。

此外,与论文中第一阶段的基础模型相比,AbNovo  在所有指标上都表现出显著的改进,凸显了约束偏好优化的有效性。

Case study: 设计抗体的可视化和统计分布

论文还进行了详尽的 Case Study 分析(图 5),比较了使用不同方法设计的抗体:dyMEAN、DiffAb 和 AbNovo。该案例说明,AbNovo 设计的抗体不仅对靶抗原表现出更高的结合亲和力,而且完全满足所有约束条件。

图片

图 5: 设计抗体的可视化

结语

研究团队指出,虽然 AbNovo 专注于抗体设计,但其基于「带约束偏好优化」的多目标、多约束设计框架,可推广至多肽设计、小蛋白配体以及小分子药物设计等领域。论文提出的框架具有很好的可扩展性,可以将其他物理化学性质作为奖励和约束,以缩小计算设计与实际应用之间的差距。

上海交通大学医学院人工智能蛋白质设计课题组长期致力于 AI 蛋白质设计和 AI 药物设计,积极推动 AI 模型在生物医药领域的实际应用。课题组先后开发了 CarbonDesign、CarbonNovo 等蛋白质从头设计算法,gMVP、MVP 等蛋白质定向进化算法,以及 AbX、AbNovo、DiffAffinity 等抗体设计专用算法,成果多次发表于 ICML、NeurIPS、ICLR 等机器学习会议及 Nature Machine Intelligence、 Nature Communications等学术期刊。

团队也在诚聘助理研究员、博士后和客座学生等优秀人才,欢迎有志于 AI 蛋白质与药物设计的研究人员通过邮箱联系。

联系邮箱:zhanghaicang@sjtu.edu.cn

理论 药物 蛋白质 抗体 AI for Science
发表评论
评论通过审核后显示。
文章分类
联系我们
联系人: 透明七彩巨人
Email: weok168@gmail.com
网址: ai.tmqcjr.com