为DeepSeek MoE模型带来「免费午餐」加速,专家链可大幅提升LLM的信息处理能力

2025-03-05 10:40:00
刘大牛
转自文章
726
我们都知道,DeepSeek-R1 的训练过程使用了一种名为专家混合模型(Mixture-of-Experts, MoE)的技术,而当前的 MoE 技术依然还有显著的优化空间。


近日,美国西北大学计算机科学博士生王子涵(Zihan Wang)等人在这个方向上取得了突破,提出了一种名为 专家链(CoE)的技术。实验表明,CoE 在性能、扩展策略、资源效率和专家使用效率等多个方面都显著超越先前的 MoE 模型。
图片
目前,核心研究者王子涵已经撰写并发布 CoE 的中英文博客并已经在 GitHub 开源相关代码,他也在博客中表示研究论文将在近期发布。以下为相关链接:


  • 代码:https://github.com/ZihanWang314/coe
  • 中文报告:https://sandy-server-87f.notion.site/1ab9bb750b79801bbfebf01ae9a77b3f
  • 英文报告:https://sandy-server-87f.notion.site/Chain-of-Experts-Unlocking-the-Communication-Power-of-MoEs-1ab9bb750b7980048d43e6aab3537cea


人工智能站授权转载了其中文报告。


作者简介: 王子涵,美国西北大学计算机科学博士一年级学生,导师为 Manling Li。他本科毕业于中国人民大学高瓴人工智能学院,并曾参与过 DeepSeek-V2 模型的开发工作。


引言


我们提出专家链 (Chain-of-Experts,CoE) 架构,一种通过在单层内实现专家间串行通信的创新方法,从根本上改变稀疏神经网络的信息处理方式。


MoE 设计中存在专家间独立处理以及显存需求高的问题。与先前 MoE 独立处理每个 token 不同,CoE 引入迭代机制使专家能够 "沟通",在其他专家的输出之上处理 token。


实验证明 CoE 在多个方面显著超越先前 MoE 模型。 性能显著提升,CoE 两次迭代在 Math 任务上将验证 loss 从 1.20 降至 1.12; 扩展策略优势,CoE 中扩展两次迭代性能相当于将专家选择数量扩大 3 倍,并优于扩展模型层数; 资源效率优化,相似表现下减少了 17.6-42% 的内存需求; 专家组合自由度提升了 823 倍; 专家使用效率增强,促进了专家间的直接通信和更好的专家分化。这些优势构成了一种罕见的 "免费午餐" 效应,为大规模语言模型的高效扩展开辟了新途径。


Chain-of-Experts:释放 MoE 专家的沟通潜能


大型语言模型(LLMs)不断推动人工智能可能性的边界,但高效扩展这些模型仍然是一个重大挑战。专家混合(Mixture of Experts,MoE)模型作为一种有前景的方法出现,通过每个 token 仅激活部分参数来解决这一挑战,理论上实现更高效的扩展。然而,MoE 模型存在以下局限性:


  1. 独立标记处理:MoE 模型通常并行独立处理 token,专家之间没有沟通。
  2. 内存效率低下:由于具有稀疏激活模式,MoE 整体参数数量较大,需要大量内存资源。


Chain-of-Experts (CoE) 介绍


我们的研究引入了 Chain-of-Experts (CoE),这是一种改变稀疏神经网络处理信息方式的新方法。
图片
Chain-of-Experts 的形式化表述


CoE 的关键创新在于建立沟通性处理机制,超越了先前 MoE 模型中的独立标准处理。我们如何实现这一点?通过在单个层的迭代中将 MoE 输出反馈为多次迭代的输入。


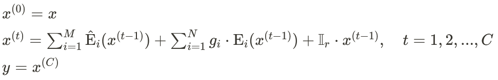
1、先前 MoE 的输出表示


在先前的 MoE 层中,不考虑共享专家,输出可以表示为:
图片
其中 x 是输入, 图片 是门控值(路由函数分配给专家 图片 的权重),K 是每个 token 选择的专家数量,N 是每层专家总数, 图片 是专家 i 的路由参数。


考虑共享专家时,路由函数计算不变,MoE 的输出变为
图片
其中 M 是共享专家的总数, 图片是共享专家。


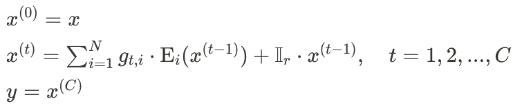
2、CoE 的迭代处理机制


在 CoE 中,我们引入迭代处理机制,可以形式化表示为:
图片
其中 图片 是第 t 次迭代的中间表示, 图片 是第 t 次迭代中专家 i 的门控值,C 是迭代的总次数, 图片是第 i 个专家, 图片 是残差连接指示变量,当使用内残差时 图片,否则为0。


考虑到共享专家,可以形式化表示为:
图片
3、门控机制详细说明


参考 DeepSeek-V2 的实现,我们定义门控机制为:
图片
其中,我们为每次迭代使用独立门控,采用不同的路由函数,K/C 是每次迭代选择的专家数量(以保持总计算量不变), 图片 是第 t 次迭代中专家 i 的路由参数。


方法分析


1、CoE 的优势


这种迭代式专家处理方法具有两个关键优势:


  1. 每次迭代的专家选择由前一次迭代的输出决定,形成专家间的依赖关系和更动态的路由机制
  2. 串行信息可以在迭代过程中累积,实现专家间的直接通信


通过这种方式,CoE 能够在保持计算效率的同时,显著提高模型的表现,特别是在复杂的场景中(如实验采用的数学任务)。


2、路由函数如何影响决策过程


在 CoE 模型中,路由函数 图片对决策过程的影响是多层次的:


  1. 动态专家选择:在每次迭代 t 中, 图片基于前一次迭代的输出  图片 来决定当前迭代中哪些专家应该被激活以及它们的权重。
  2. 信息流控制:路由函数控制了信息如何在专家网络中流动,通过在每次迭代中重新评估路由决策,确保信息能够流向最相关的专家。
  3. 适应性处理:随着迭代的进行,路由函数可以调整其路由策略,根据先前迭代的处理结果来优化后续专家的选择。


实验结果与发现


我们采取 DeepSeekV2 结构,在 500M 级别 MoE 下使用 32K Tok 的 batch size 训练 1000 步,完成了一系列实验来验证 CoE 的有效性。单次训练使用一张 H100 约为 30 分钟,使用一张 4090 约为 2 小时。更多实验细节见后。


我们的实验方法命名为 图片,例如 CoE-2 (4/64) 代表使用 CoE,循环次数为 2,每次选取 4 个专家,每层一共有 64 个专家。我们在所有实验中设置共享专家的数量为 1,在迭代次数为 2 的情况下,这会提高 5% 左右的计算需求。


效果优势


1、 在算力预算与显存预算相似时,CoE 效果明显更优。


在 Math 任务上进行预训练 (步数 1000),CoE-2 (4/64) 的效果明显优于 MoE (8/64), 在相似的算力和内存要求下,将 loss 从 1.20 下降至 1.12,且有更陡峭的下降趋势。
图片
我们进一步在 “dense”(专家 8 选 8)模型上也测试了 CoE,证明了串行处理在 Sparse MoE 上相比 Dense 模型更有效, CoE 是 (Fine-Grained) Sparse MoE 的专属方法。如图所示,采取 2 次序列化处理对 Dense 模型性能没有显著益处。
图片
资源效率


1、在计算量和效果相似的情况下,CoE 可以减小对显存的要求。


例如,CoE-2 (4/48) 的效果与 MoE (8/64) 相近,但使用更少的总专家数量。


如下图所示,loss match 的情况下减小了 17.6% 的显存需求。
图片
(注,我们记录了 GPU memory allocated,与 micro_bsz=1 的时候理论最小显存相关,实际上因为实验中使用了较大的 batch size,使用的显存会更大)


2、在预算相似的情况下,CoE 是更好的计算扩展方式。


我们对比了 CoE 和其他计算扩展方法:拓展模型层数与拓展专家选择个数。


a) 拓展迭代次数 (CoE) > 拓展模型层数


CoE-2 (8/64),4 层 vs MoE (8/64),8 层 / 12 层, 8 层 MoE 和 CoE 效果几乎相同,但是对 Memory 要求高 72%,即 CoE 相对节省了 42% memory。
图片
b) 拓展迭代次数 (CoE)> 拓展专家选择个数


CoE-2 (8/64),4 层 vs MoE (16/64) 或 MoE (24/64),4 层, Memory 和 Compute 要求一致,CoE 效果更好。
图片
3、架构设计的关键发现


a. 独立门控机制


独立门控机制可以提升模型性能,能从一定程度上解释专家的分化,表明同一专家在不同迭代阶段处理不同类型的信息。


我们实现了共享门控的 CoE 变种,使用共享的 图片 而非 图片,具体而言:
图片
发现效果差于 CoE,甚至差于没有拓展规模的 MoE,如下图所示,体现独立门控机制的重要性。
    
b. 残差连接


内残差连接 (inner residual) 比外残差连接 (outer residual) 更有效,这表明每组专家对 token 的串行处理实际上是在提高模型的有效深度,每个专家的处理都在更好地学习残差。


我们实现了外残差连接的变种,将 图片 设置为 0,层内迭代处理结束后再连接残差,具体而言:
图片
发现效果差于 CoE 且与 MoE 相当,如下图所示,体现内残差连接的重要性。
图片
理论观察:免费午餐效应


最显著的是,CoE 或许提供了我们称之为 "免费午餐" 加速。通过重构信息在模型中的流动方式,与以往 MoE 方法相比,我们以更少的计算开销实现了更好的结果。我们认为这种效果可能来自于三个因素:


1. 专家选择的自由度提高。 图片,选择的可能性变多


2. CoE 统一了串行处理 (sequential processing) 和专家通信 (expert communication) 两个概念:    
  1. 不同专家之间可以串行处理,提高了 Transformer 的有效深度。两次前向传播送到不同专家时,增强了专家的串行特征 — 处理同一个 token 的路由专家数相同,但是是串行地处理。    
  2. 一个专家在迭代过程中有机会处理一个 token 多次,可能有助于促进专家的分化:一个专家与其他专家合作处理后,可以在后续迭代对 token 进行补充处理。


实验细节


1、数据集


实验使用的数据集为 MetaMathQA (链接:https://huggingface.co/datasets/meta-math/MetaMathQA ),该数据为从 GSM8K 和 MATH 数据集中增强而来,不含网络获取的通用数据。


2、模型配置


我们基于 DeepSeek-V2-Lite 架构,设置总参数为 544MB(不含 embedding)的模型,实现了 CoE 方法,主要配置参数如下:


  • 基础模型参数:隐藏层大小:1024,隐藏层数量:4,注意力头数:8
  • MoE 相关参数:路由专家总数:63,共享专家数量:1,每个 token 选择的专家数量:8 (routed) + 1 (Shared),MoE 中间层大小:704,MoE 层频率:1 (每层都是 MoE 层)
  • CoE 特有参数:迭代次数:2,残差连接方式:内部连接,独立门控机制:开启 (每次迭代使用不同的路由函数)


3、训练设置


  • 批量大小 (batch size):64,序列长度:512,训练步数:1000,优化器:AdamW,学习率:3e-4,学习率调度:10% Warmup,betas: [0.9, 0.95]   weight_decay: 0.01   warmup_steps_ratio: 0.1   clip_grad: 1.0。


4、系统设置


训练采取改版后的 veRL 架构(微调了原版实现),代码参考 https://github.com/ZihanWang314/coe,实验都在多个单张 H100 的服务器上进行。每组实验在 1 小时以内完成。


结论


Chain-of-Experts 代表了高效、高性能语言模型发展的重要一步。通过在稀疏神经网络中实现沟通处理,CoE 解决了当前 MoE 架构中的基本限制,同时以更少的计算需求提供优越的性能。


这项研究为高效扩展语言模型开辟了新途径,可能使先进的人工智能能力更加普惠和可持续。


未来工作


1. 扩展法则研究:提高模型尺寸、预训练步数、批量大小,测试不同数据集等。目前使用数学数据集是因为其推理复杂性具有挑战性,但计划在通用数据集上进行测试。


2. 进一步评估:


  • 测试模型的实际任务表现而非仅限于评估损失
  • 扩展循环次数:目前只测试了循环次数 = 2,探索 3、4 次等是否有效
  • 进一步评估共享专家对 CoE 的作用


3. 架构创新:


  • 基于循环告诉我们一个专家可以使用多次的原理,探索是否可以实现所有层共享专家的 MoE Transformer,并分层选择专家
  • 例如,DeepSeekV2Lite 有 27 层,每层 64 个专家,目前每层选 6 个路由专家有约 7×10⁷ 种组合,而如果每一层过 MoE 时,都从全部 27×64 个专家中选择,一共将有 3×10¹⁶ 种可能的组合


局限性


  1. 虽然理论上 TFLOPs 保持一致,但实际训练时间会略微增加,因为单次迭代选择更少专家减小了矩阵乘法并行度。未来工作可能需要进行底层适配。
  2. 该方法需要从头预训练而不能简单地适配现有模型,限制了大众研究者的应用。
  3. 模型更大时,多节点 EP 通信开销也需要纳入考虑;当前架构基于 DeepSeekV2,与 V3 的模型架构兼容,但 V3 中实现的 MTP、FP8 等训练架构尚未测试,兼容性未知。


这篇博客文章基于我们关于 Chain-of-Experts (CoE) 的研究论文。有关更多技术细节和实验结果,请关注我们即将发布的完整论文。


贡献者


Zihan Wang*
Rui Pan*
Lu Yin*
Manling Li*
Shiwei Liu*


* 共同作者。ZW 和 SL 发起了项目。LY 探索了 MoE 内层处理机制。ZW 提出了串行专家和 CoE 概念,实现了代码并进行了实验。SL 提出了独立门控机制。RP 探索了层间重要性并贡献了数据集。ML 进行了实验指导并提供了云计算服务。ZW 和 ML 准备了报告和可视化材料。


参考文献
https://arxiv.org/pdf/2309.08520 MoE 缩放法则
https://arxiv.org/pdf/2101.03961 Switch Transformer
https://arxiv.org/pdf/2502.05171 循环深度
https://arxiv.org/pdf/1909.11942 ALBERT (密集模型上的循环)
https://arxiv.org/abs/2401.06066 DeepSeekMoE
https://arxiv.org/abs/2405.04434 DeepSeek V2
https://arxiv.org/abs/2412.19437 DeepSeek V3
https://arxiv.org/abs/1512.03385 ResNet
工程 Chain-of-Experts
发表评论
评论通过审核后显示。
文章分类
联系我们
联系人: 透明七彩巨人
Email: weok168@gmail.com
网址: ai.tmqcjr.com