KDD 18 & AAAI 19 | 异构信息网络表示学习论文解读

2019-02-25 18:23:00
刘大牛
转自文章
829

本文要介绍的两篇论文在 metric learning 和 translation embedding 的角度对 异构信息网络 中的节点进行学习,都受到了 knowledge graph 的模型如 TransE,TransR 的影响,所以在这里一起来进行对比说明。 

异构信息网络 专题论文集: https://github.com/ConanCui/Research-Line

KDD 2018

待解决的问题

目前大多数 异构信息网络 (HIN)对于点之间相似度的衡量方式,都是在低维空间使两个点的 embedding 的 内积 (dot product)尽可能的大。这种建模方式仅能考虑到一阶关系(first-order proximity),这点在 node2vec 中也提到;

相比于同构信息网络, 异构信息网络 中包含 多种 relationship,每种 relationship 有着不同的 语义信息。 

同时 relationship 的种类分布非常 不均匀

解决的方法

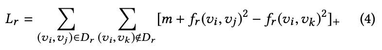
1. 使用 metric learning(具体可参见论文 Collaborative Metric Learning [1],它具有 triangle inequality 特性)来同时捕捉一阶关系和二阶关系(second-order proximity)。

2. 在 object space 学习 node 的 embedding,在 relation space 学习 relation 的 embedding。计算时,先将 node embedding 从 object space 转移到 relation space,然后计算 proximity。 

3. 提出 loss-aware 自适应采样方法来进行模型优化。

模型的动机

相比于同构网络的 embedding,异构网络中节点之间的 proximity 不仅仅指两个节点在 embedding space 的距离,同时也会受到 relation 中所包含关系的影响。

dot product 仅能够保证一阶关系,而 metric learning 能够更好同时保存一阶关系和二阶关系。

由于 metric learning 直接应用会存在 ill-posed algebraic 的问题,所以不能直接应用。同时我们还要考虑到异构网络中存在不同的 relation,这点也需要建模。 

以往异构网络中,对于不同种类的 relation 比例差距悬殊的问题,有人提出对每一种 relation 进行等比例采样, 但这会造成有的 relation 被 欠采样 ,有的过采样,并且不同 relation 的难度不同,需要采样的数量也不同。

模型

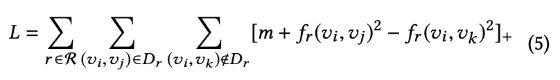
学习 embedding 的 loss 如下:

其中:

可以看出,上述 loss 的目的是让不同的点在某一种 relation space 中尽可能地接近,同时是的学到的 embedding 保留一阶和二阶特性。需要学习的 参数 为 node embedding v, 和从 object space 映射 到不同 relation space 的 映射 矩阵Mr。

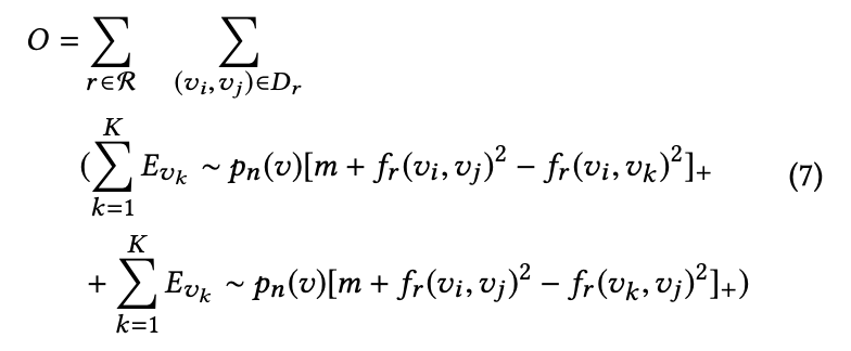
上式中,所有负样本都加入训练集,会导致复杂度急剧上升,在这里采用双向负采样(Bidirectional Negative Sampling Strategy),所以 loss 修改如下:

对于每个 epoch,我们会把每个种类的网络的 loss 记录下来,如下 ,然后根据目标种类 r 的 loss 所占的比例,来确定对该种类 r 的 edge 采样出多少的比例。这样为根据 loss 来自适应的调整采样策略 ( Loss-aware Adaptive Positive Sampling Strategy)。 

最终整体的算法流程为:

实验

实验采用了来自五个州的 Yelp 数据集,点的种类包括用户(User),物品(Business),物品属性(Attribute),物品种类(Category),如 Table 1 所示。

在 AZ 州的数据集上计算 Hits@K 和 MRR,结果如 Figure 2 和 Tabel 3 所示。

在 NV 州数据集做 link prediction 任务,具体为判断当前便是否存在在测试集当中,具体指标使用 AUC,结果如 Tabel 4 所示。 

总结

该篇文章整体的贡献点为:

1. 使用 metric learning 来解决 HIN 中的二阶关系,并借用 TransR 中的 映射 矩阵来解决 metric learning 存在的 ill-posed algebraic 问题,对于多种 relation 建立多个 relation space。

2. 提出 loss-aware adaptive 采样方法,解决了 HIN 中存在的 relation skewed 的问题。 

但是可能存在的问题是,该篇文章仅仅考虑基础的 relation,另外在 HIN 中还有常见的 composite relations 是使用 meta-paths 来表示的。

比如在 DBLP 这样的参考文献数据集上,存在 (A, author,P,paper,C,conference) 这些节点。而像 APA (co-author relation),以及 APC (authors write pa- pers published in conferences) 这样包含着丰富的信息的 composite relations,在这篇文章中没有考虑到。

AAAI 2019

待解决的问题

1. 异构网络中存在着很多的 relations,不同的 relations 有着不同的特性,如 AP 表现的是 peer-to-peer,而 PC 代表的是 one-centered-by-another 关系。如何区分不同的 relations?

2. 针对不同的 relations,目前的模型都采用相同的方法来对他们进行处理。如何区分建模?

3. 如果建立多个模型,如何协调优化?

解决的方法

1. 根据结构特性定义了两种 relations,Affiliation Relations (ARs) 代表 one-centered-by-another 的结构,而 Interaction Relations (IRs) 代表 peer-to-peer的关系。 

2. 对于 AR,这些点应当有共同的特性,所以直接用节点的 欧几里得距离 作为 proximity。对于 IR,将这种关系定义为节点之间的 转移(translation)。前者借鉴了 collaborative metric learning,后者借鉴了模型 TransE。 

3. 因为两个模型在数学形式上相似,所以可以一起优化。

数据分析

不同于上篇文章,这篇文章从 数据分析 入手,并给出两种 structural relation 的定义。三个数据集整合如 Table 1 所示。 

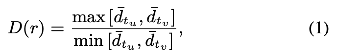
对于一个 relation 的三元组 <u,r,v>,其中作者定义了一个指标如下:

该指标由 u 和 v 种类的节点的平均 度(degrees)来决定。如果 D(r) 越大,代表由 r 连接的两类节点的不平衡性越大,越倾向于 AR 类型,否则倾向 IR 类型。同时定义了另外一个稀疏度指标如下:

其中 代表该种类 relation 的数量, 代表头节点所在种类节点的数量,如果数据越稠密,则越倾向于 AR,因为是 one-centered-by-another,而 IR 关系的相对来说应该较为稀疏。

模型

对于 AR 类型,采用类似于上篇文章 PME 中的 metric learning 角度建模,原因除了 metric learning 能够保留 second- order proximities 外,metric learning 和 AR 的定义契合,及被该关系连接的节点之间欧式距离要尽量的小。

而对于 IR 类型为何用 translation 来进行建模,没有更好的说明,只是在模型的数学形式上和 metric learning 较为接近,容易结合。 

则对于 AR 类型的 loss 为:

而对于 IR 类型的 loss 为:

对于整个模型来说,就是简单的把两部分的 loss 相加,没有上一篇 PME 中考虑的更合理。

正负采样的方法也没有上一篇当中有过多的技巧,relation 的正采样就直接按照数据集中的比例来进行采样,不考虑 relation 种类是 skewed 的情况。而对于负采样,和 TransE 和上篇文章中 PME 相同的方法,即双向负采样。

实验

实验采用 Table 1 中的数据集,首先看在 聚类 任务上效果的好坏,具体指标采用 NMI,结果在表格 2 中所示。

接着看了模型在 Link prediction 上的效果好坏,具体为判断当前边是否在测试集中。具体指标采用 AUC 和 F1,结果见 Table 3。

另外看了模型在 multi-class classification 任务上的表现,看学到的节点是否保留有节点种类信息,具体为对已经学习到的节点 embedding,训练一个分类器,结果如 Table 4 所示。

另外,为了探讨 区分两种 relation,并利用 metric learning 和 translation 进行建模是否有效,作者进行了 ablation study。提出如下三种 variants:

其实验结果如 Figure 2 所示:

总结

总的来说,作者从分析数据入手,对于 HIN 中具有不同 structural 的 relation 进行了区分,并且分别采用不同的方法对不同 structural 的 relation 进行建模,在一定程度上给出了这两种方法的建模 motivation。

相比于 PME,作者对于两部分的 relation 的 loss 结合较为粗糙,不过作者的重点也不在于此,没有什么问题。

参考文献

[1]. Hsieh C K, Yang L, Cui Y, et al. Collaborative metric learning[C]//Proceedings of the 26th international conference on world wide web. International World Wide Web Conferences Steering Committee, 2017: 193-201.

PaperWeekly
PaperWeekly

推荐、解读、讨论和报道人工智能前沿论文成果的学术平台。

理论 网络表示学习 异构信息网络 AAAI 2019 KDD 2018 论文
3
发表评论
评论通过审核后显示。
文章分类
联系我们
联系人: 透明七彩巨人
Email: weok168@gmail.com
网址: ai.tmqcjr.com