从源头探讨 GCN 的行文思路

2019-08-27 12:08:00
刘大牛
转自文章
765

今年,IJCAI、CVPR、MM 上 Graph 相关的论文已经呈现井喷式的增长。相信领域内的小伙伴也都感受到了不同程度的压力,加紧撰写或是修改论文。在相关文献中,有些文章行云流水,insight 和 GCN 的特点结合的很棒;也有些文章生硬牵强,给人一种不太合理的感觉。

在顺藤摸瓜梳理 GCN 的分析视角的过程中,有四个历史悠久的研究方向与 GCN 的思路异曲同工。虽然他们的光辉暂时被 GCN 掩盖,但是在优秀的 GCN 论文中,他们分析思路仍被广泛使用。

下面,我们将从简单到困难介绍这四种研究方向的 基本思想、从该视角对 GCN 的理解,以及适用的领域。希望给正在写论文和找不到应用方向的小伙伴一些帮助。

PageRank

基本思想

PageRank 是一种用于量化网络中网页重要程度的算法。在 PageRank 诞生前,人们通常使用指向一个网页的网页数量来衡量该网页的重要程度(指向一个网页的网页越多,人们访问该网页的概率越大)。但是这种做法只考虑了链接(一个网页对另一个网页的指向)的数量而忽视了链接的质量,即所有链接都是同等重要的。

一个大流量网页的链接和两个小流量网页的链接

PageRank 解决了重要性的量化和累积问题,赋予了大流量网页更高的权重 PageRank 的做法是:

PageRank 的计算过程

1. 假设世界上总共有 4 个网页,则在不考虑链接时每个网页被访问的概率为  1/4 ,因此将每个网页的重要程度初始化为  1/4 。将 A 网页的重要程度用  PR(A)  表示,则  PR(A)=1/4 ;

2. 假设 A 网页共指向了 L(A) 个网页,则每个指向的重要程度(被使用的概率)为 PR(A) / L(A);

3. D 页面的重要程度可以表示为指向 D 的链接的重要程度之和,即使用下面的公式更新 D页面的重要程度:

4. 根据所有页面新的重要程度,重复第 2、3 步,直至 收敛 (更新前的  PR(D) 与更新后的 PR(D) 的差异小与某个设定的阈值)。

结合GCN

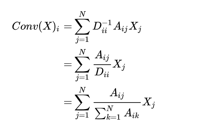
考虑 GCN 中的卷积公式 ,其中 X 为图中每个节点的特征向量, A 为图的邻接矩阵, D 为度矩阵, H 为训练 参数 (推导过程中省略)。观察 Conv(X)行的值(即图中第 i 个节点的特征向量是如何更新的):

可以发现 GCN 和 PageRank 的思路大同小异,只是链接的 权重 PR(A) 被替换为了边的权值 Aij  ,链接数量 L(A) 被替换为了相邻边的权值之和  。 但两者的本质都是通过边的权值计算节点的重要程度,并通过迭代(GCN 里是多层卷积)累积重要程度直至收敛

适用方向

PageRank 方向的研究在 大规模 Network 的分析和处理中积累了大量的研究经验,因此在大规模关系网络的分析和处理中,往往可以找到 PageRank 的 相关分析 进行解释。例如,在社交网络、 推荐系统 、团伙发现等任务中,往往可以 强调 User 的重要性程度不同(关键用户、团伙头目等)。

Attention —— 查询 重要性

基本思想

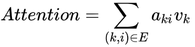
Attention 是一种能够进行(一般用于长上下文或状态集合中) 信息抽取 的网络结构。Attention 的实质是 使用查询 条件(query)在一个包含大量键值对(key-value)的字典中,匹配符合要求的 key 并获得对应的 value 的过程。令 query 为 Q ,第  i 个 key Ki 对应的 value 为 Vi  ,Attention 机制可以被描述为以下三部分:

Attention 机制图示

1. 计算 query 与所有 key 的相似度,得到评分。以下四种方法都较为常见:

2. 使用 Softmax 对评分进行归一化:

3. 将归一化后的评分与 value 加权求和得到 Attention 的结果:

自然语言处理 任务中,key 和 value 通常相同,即都为输入的一系列词向量,query 为当前状态。这样,网络就可以像人类一样,忽略不想关注的部分,而从需要关注的词向量提取信息。

除了这种静态的 Attention 外,Self-Attention 和 Transformer 也被广泛使用在 自然语言处理 计算机视觉 任务中。在 Self-Attention 中,原始向量到 query、key、value 的 映射 是可以通过反向传播学习的,因此不再需要我们手动定义 query 与 key 的相似度的计算方法。

上文中的操作可以替换为:

其中, Wq   、 Wk   和 Wv  为训练 参数

从 Attention 角度理解 GCN

结合GCN

观察 GCN 中的卷积公式  ,其中 X 为图中每个节点的特征向量, A 为图的邻接矩阵, 为度矩阵, H 为训练 参数 (推导过程中省略)。其实,这个过程可以理解为, 通过邻接矩阵 A 定义了当前节点与周围节点的相似度评分,即 。使用度矩阵(当前节点所有相邻边的权值之和)的倒数 D-1 对评分进行了归一化。最后通过乘 X 完成了对 value 的提取。

在此基础上,也有同学提出了 Graph Transformer 进行 Self-Attention。

1. 对于当前节点 i 对应的特征向量 xi 和相邻节点 j 对应的特征向量 xj  ,他们的相似度评分为:

2. 使用 Softmax 对评分进行归一化:

3. 将归一化后的评分与 value 加权求和得到 Attention 的结果:

适用方向

Attention 方向的研究在 计算机视觉 自然语言处理 等方向都得到了长足发展。以 计算机视觉 领域为例子,例如,Attention 可以分为 对 channel 和对 feature map 的 attention。feature map 中包含 ROI,而 channel 可以代表颜色、深度、轮廓、时间序列等信息,这些信息都可以作为 Graph 中的 Node 进行 Attention。(图像标注、视频内容分析等)。

Spectral Clustering 

基本思想

Spectral Clustering 是一种用于图的 聚类 算法。图上的 聚类 可以理解为图的割, 即将图划分为不同顶点集,使得顶点集之间的边权值和最小。但是,这样的优化目标容易导致 聚类 后的到的簇很不均匀(为了最小化割边的权值,算法会只割一条边)。因此,我们需要对优化目标进行归一化,即在优化 聚类 目标的同时,需要保证每个顶点集差不多大。

Cut 和 Normalized Cut(NCut)

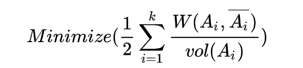
假设我们将图 A 划分为 k 个部分 ( A1 , A2 ,..., Ak )  表示顶点集 Ai 和其他顶点集之间的边的权值和。优化目标『将图划分为不同顶点集,使得顶点集之间的边权值和最小』可以表示为:

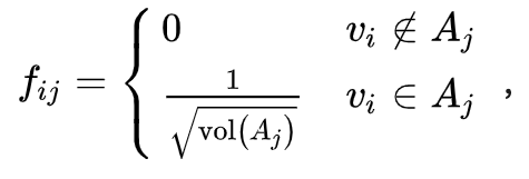
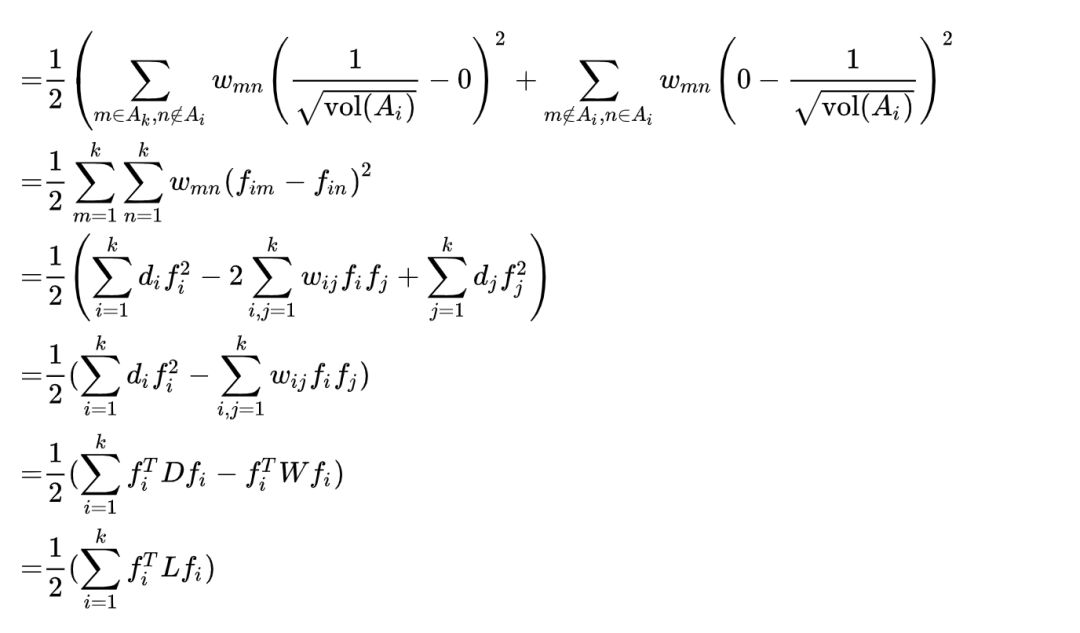
通常,我们使用  vol( Ai即顶点集 Ai 中顶点的度之和度量顶点集的大小(比起顶点数量,我们更关注边的数量),来对优化目标进行归一化:

目标函数 进行化简:

令:

可得:

fij 代入化简后的 目标函数 目标函数 可以化简为:

其中, L=D-W 为拉普拉斯矩阵,其中 D 为度矩阵, W 为邻接矩阵。最小化上式即最小化:

约束为   FTDF =1



该式可以转化为瑞立熵公式,我们令 F=D-1/2G ,上式可以转化为:

由 Rayleigh quotient 可以知道,如果 R(A,x)=(xAx)/(xx) ,那么 R 的最小值为 A 的最小特征值,该值在  x 为特征值对应的特征向量时取到。



也就是说,我们只需要求   D-1/2L D-1/2 的特征值并选择最小的 k 个特征值对应的特征向量,(往往无法直接通过维数约简获得结果,需要再对其进行一次 KMeans 聚类 )就可以得到 聚类 的结果了。



结合GCN

Spectral Clustering 的实质是使用拉普拉斯特征 映射 降维 的同时保留局部特征(原本距离较近的特征点在特征 映射 之后距离仍然近,原本距离较远的特征点在特征 映射 之后仍然远),在此基础上使用 聚类 算法(如KMeans)对 降维 后的特征点进行 聚类 D-1/2L D-1/2  的特征向量具有保留局部特征的作用。 因此,GCN 的卷积公式 D-1/2LD-1/2XH 可以近似看做通过 仿射变换 求特征向量的过程。

适用方向

Laplacian Eigenmaps 是 流形学习 的研究内容之一,因此在流行学习任务上(例如 人脸识别 中人脸特征随光照、方向等因素连续变化)往往可以找到 LLP、ISOMAP 的 相关分析 进行解释。因此,如果能够确定数据集的分布处于一个流形上,或是需要根据相似度手动构建 Graph 时,该研究方向是非常值得借鉴的,研究过程中可以使用可视化等方法佐证自己的理论(流形的可视化较为简单)。

频域特征变换

基本思想

与图像 信号处理 中的空域信号(又叫像素域,描述像素的特征,可以对像素进行叠加)和频域信号(描述空域的变化,通过傅立叶变换得到)相似,图 信号处理 中也有顶点域信号和频域。其中顶点域信号对应图中每个顶点的特征(例如社交网络中的年龄、爱好等),频域信号对应另一种信号分析维度(图的傅立叶变换基),描述了相邻顶点的特征差异。

频域信号描述了相邻顶点的特征差异

k 为顶点数量, 为邻接矩阵, f 为空域信号(即节点特征),相邻顶点的特征差异可以被量化为:

fij 代入化简后的 目标函数 目标函数 可以化简为对该式进行化简:

其中, L=D-W 为拉普拉斯矩阵,其中 D为度矩阵, W 为邻接矩阵。上式可以转化为:

  FTF =1 ,由 Rayleigh quotient 可以知道,如果 R(A,x)=(xAx)/(xx)  ,那么 R 的最小值为 A 的最小特征值,该值在 为特征值对应的特征向量时取到;那么 R 的最大值为 A 的最大特征值,该值在 x 为特征值对应的特征向量时取到。

也就是说,我们只需要求 L 的特征值 λ,较大的 λ 对应  较大,即空域信号变化较大的高频信号;较小的 λ 对应   较大,即空域信号变化较小的低频信号。



因而,图傅立叶变换可以定义为:

其中, u(t)(i) L 的第 t 个特征向量的第 个元素, u*(t)(i) 为其共轭。可以发现, 图傅立叶变换只是将傅立叶变换中的算子   替换为了 L 的特征向量 ut  。二者都包含了明显的频率信息,在低频时震荡较慢(低),高频时震荡较快(变化率高)。

图上的频域分解

结合GCN

考虑 GCN 中的卷积公式   ,其中 X 为图中每个节点的特征向量, H 为训练 参数 其实是将频率信息 L 进行了对称归一化得到   D-1L D-1 (即对称归一化的拉普拉斯矩阵),并使用训练 参数 对其进行了变换。从而,GCN 具有了图上的频域叠加、平移和卷积能力。

适用方向

在四种研究方向中,频谱理论最为艰涩但是也最 make sense。约简后的频谱操作即目前适用最为广泛的 GCN,相信在未来该领域也仍是研究图卷积算子的必经之路。如果实在找不到 GCN 与当前任务的结合点,也可以直接使用该理论引出图卷积的公式(这样的顶会论文也不少)。

后记

本文只探讨了几个主要的图研究方向的视角,其实万法归一,没有提及到的很多领域也有着相似出色的工作,比如 Random Walk 等。在学习过程中希望大家能一起举一反三啦。

另外,近期准备着写一些 Vanilla PyTorch 实现图卷积的最佳实践教程,就不怎么玩 知乎 啦~感兴趣的同学可以关注我的 Github: tczhangzhi。此举并不是妄想重新造像 PyG 或者 DGL 一样的轮子,而是在参考了各位同学和开源库的实现后发现,Vanilla PyTorch 实现 GCN 可以让我们的代码更为简洁和灵活。因此希望总结一些最佳实践,一方面向大佬致敬,另一方面也为同学们的研究提供方便。

极验
极验

极验是全球顶尖的交互安全技术服务商,于2012年在武汉成立。全球首创 “行为式验证技术” ,利用生物特征与人工智能技术解决交互安全问题,为企业抵御恶意攻击防止资产损失提供一站式解决方案。

理论 权重 收敛 逻辑回归 图神经网络
6
发表评论
评论通过审核后显示。
文章分类
联系我们
联系人: 透明七彩巨人
Email: weok168@gmail.com
网址: ai.tmqcjr.com