基于飞桨PARL实践PPO算法,让“猎豹”学会奔跑!

2020-09-04 11:50:00
刘大牛
转自文章
772

【飞桨开发者说】陈懿,西交利物浦大学计算机研一,研究方向为:强化学习在游戏领域的应用。

项目背景

20世纪90年代以来,随着计算机技术和数据量的爆发式增长,算力和 神经网络 得到了极大的发展,但是距离人们想象中的 人工智能 还需要不断的实践和创新。

而在 神经网络 的基础上出现的 强化学习 分支,将机器的智能进行了大幅提升,这种提升来源于 强化学习 可以让机器(算法)自己和环境交互,不断试错,从而提升自己的能力。是不是感觉和人类成长的方式很像了?

强化学习 发展的过程中,PPO可以算是最经典的算法之一,这主要得益于其非常明显的 3 个优势:算法简洁易理解、适应性强、效果优异。

本次项目中的 Mujoco Half-Cheetah 环境,是在模拟环境中让一个(事实上是半个)虚拟猎豹学会奔跑。而奔跑这件事, 难点在于:动作是连续的,环境的反馈也是连续 的。所以要应对这些难点,本次选取了“万能算法”——PPO作为尝试。

我们可以先来看看 PPO 算法是如何发展而来的。

最早出现的策略优化算法是PG算法(Policy Gradient)。该算法由于采样和优化用的是同一套策略(on-policy),所以采样的效率比较低。PG算法训练过程不稳定,容易崩溃(可能由于样本的关联度太高造成),比如随机采集到了差的动作,和环境交互后更差,得到的也是一堆差的反馈数据,恶性循环,导致很难从错误中恢复,最终算法崩溃。

如何使PG算法训练更稳定呢?

  • 引入 Trust region 机制,使产生的 gradient 总是在一个安全的范围里(平缓更新),或者用二阶的 natural policy gradient 的方法(增加了Fisher Information Matrix的逆矩阵)取代此前用的一阶的 SGD,这样更准确稳定,但是计算复杂度很高。
  • 对 TRPO 进一步改进,得到ACKTR算法。把 Fisher Information Matrix 求逆的过程,用 Kronecker-factored approximation curvature (K-FAC) 替代,训练速度大幅加快,从而提升 TRPO 的计算效率
  • PPO对复杂的 TRPO 算法进行了简化 把 Natural gradient 和 TRPO 的 loss function 结合起来,不需要使用复杂的 二阶优化方法 ,可以在保证效果的前提下,速度更快。
  • 最后得到PPO with clipping算法,有如下两点优势:
    • 使用 clip 的方式,限制 ratio 的更新,让 policy output 不会有太激进的变化,让更新变得稳定,所以大部分的 PPO 算法都采用了这种形式。
    • 仅几行代码即可把经典 PG 算法改写成 PPO 的形式,所以很容易实现。

PPO训练效果展示

(Mujoco HalfCheetah-v2)

  • 运行 300,000 步达到 1000 分
  • 运行 600,000 步达到 1500 分
  • 运行 2,000,000 步达到 2500 分以上
  • 最终可以达到 4000-5000 分

PPO 算法论文阅读

PPO是ArXiv 2017的一篇论文,Proximal Policy Optimization Algorithms,论文网址: https://arxiv.org/abs/1707.06347

下面我们对论文的关键内容进行解读。

1. 回顾各种强化学习 算法

论文开篇先是回顾了各种 强化学习 算法的瓶颈,以及PPO的改进和创新点。

  • Q-learning:对于很多简单的问题无法解决,而且算法难以理解。
  • Vanilla Policy Gradient:数据利用率差;鲁棒性(普适性)差;不稳定的问题来源于使用了同一条轨迹进行多步优化。
  • TRPO:算法太过于太复杂;引入噪声以后,和参数 共享的结构不兼容。
  • PPO:数据利用率高;模型可靠度高(适用范围广),类似 TRPO;模型简洁易懂;创新地引入了 clipped probability ratio。

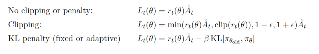
2 . 截断方式

解释了 PPO 如何通过截断 probability ratio 达到 TRPO 同样的效果,同时保持了算法的简易性和可理解性。

另外一种方法是用 KL 惩罚因子来代替截断的方法:

3. 算法

算法非常简洁。同时这里需要注意:PPO是一个 on-policy 算法!

4. 效果展示

4.1 对比两种更新方法

原论文对比了 no clipping or penalty ,Clipping,KL penalty 三种更新方式之间的区别。结果是后面两个表现更好,另外 Clipping 比 KL 表现更好。

4.2 在 连续控制 环境中与其他算法对比

  • 可以看得出,在前1000000步过程中,PPO 明显大多数其他算法收敛 更快;
  • 而且适应范围更广,在多种任务中皆表现出色。

4.3 复杂的 连续控制 环境:模拟人类奔跑

可以看到,在复杂的 连续控制 环境下,PPO取得的效果也非常不错。

4.4 Atari环境中与其他算法对比

在 Atari 游戏上面进行测试,证明了 PPO 在确保效果的前提下,速度更快。

基于飞桨PARL 的 

PPO 算法程序实现

1 . 相关依赖库

  • python3.5+
  • paddlepaddle>=1.6.1
  • PARL
  • gym
  • tqdm
  • mujoco-py>=1.50.1.0

1.1 Gym 和 PARL 的介绍

Gym 是个仿真平台,python 的开源库,RL 的测试平台:

  • 离散控制场景(动作为确定值):一般使用 atari 环境评估
  • 连续控制 场景(动作为浮动连续值):一般使用 mujoco 环境游戏评估

Gym 的核心接口是 enviroment,核心方法:

  • observation (object):对环境的一次观察
  • reward (float):奖励
  • done (boolean):代表是否要重置环境(是否达成最终结果/游戏结束)
  • info (dict):用于调试的诊断信息
  • reset():重置环境的状态,回到初始环境,以便开始下一次训练。
  • step(action):推进一个时间步长,返回 4 个值:

render():渲染,刷新环境新一帧的图形

PARL 是对 Agent 的框架抽象,适用范围:

  • 入门:快速学习和对比不同常用算法
  • 科研:快速复现论文结果,迁移算法到不同环境调研
  • 工业:大规模分布式能力,单机到多机仅需2行代码,快速迭代上线

PARL 的实现,基于 3 个类:

  • Model(模版+用户定制):构建前向网络,用户可以自由的定制自己的网络结构。
  • Algorithm:定义了具体的算法来更新前向网络(Model),也就是通过定义损失函数 来更新Model,和算法相关的计算都放在algorithm中。
  • Agent(模版+用户定制): 负责算法与环境的交互,在交互过程中把生成的数据提供给Algorithm来更新模型(Model),数据的预处理流程也一般定义在这里。

1.2 Mujoco 及 mujoco-py 的安装

MuJoCo 是目前机器人 强化学习 中最流行的仿真器之一

  • 安装 MuJoCo:

获取许可证:

https://www.roboti.us/license.html,可以使用30 天试用版本。

  • 例如:Mac电脑,点击 OSX 下载文件 getid_osx;
  • 获取电脑 id;
  • 在网站上输入,立刻就收到了邮件,里面有两个附件:LICENSE.txt和mjkey.txt。

您也可以选择安装个人版。

官网上有一段提示,意思就是慎重选择要安装的电脑,它是绑定电脑的。尤其是学生党要注意,虽然有 1 年的免费使用,但是千万别装错电脑!

下载源文件:

  • Linux 请选择:

    https://www.roboti.us/download/mujoco200_linux.zip
  • OS 系统请选择:

    https://www.roboti.us/download/mujoco200_macos.zip

注意:这里的目录设置很重要!如果搞不清楚的话,请选择默认安装路径,以免出错!

  1. 在终端中mkdir ~/.mujoco 创建安装目录;
  2. 然后把下载的程序文件解压,移动到该目录下

    mv mujoco200_macos ~/.mujoco/mujoco200;
  3. 将邮件里面得到的 key 放到目录下

    mv mjkey.txt ~/.mujoco/mjkey.txt。

安装 mujoco-py:

官方文档介绍直接使用 pip3 install -U mujoco-py<2.1,>=2.0 即可

安装过程如果出现各种报错,可以参考:

强化学习 环境:MuJoCo 安装踩坑记录(2020年7月18日)

2 . 程序实现

主程序包含 4 个主要的函数:

  • run_train_episode:用于训练的交互程序;
  • run_evaluate_episode:评估和测试的交互程序;
  • collect_trajectories:通过交互程序,收集轨迹数据,包含了环境状态,采取的动作,对应的奖励等;
  • build_train_data:把轨迹数据转化为可以用作训练的数据。

mujoco_agent:算法核心:

  • 这里一共创建了 5 个网络:policy_sample_program,policy_predict_program,policy_learn_program,value_predict_program。
  • policy_learn:用于同步新的策略模型的参数 到旧的策略模型,固定策略模型,然后学习多次后再同步。
  • value_learn:数据训练,更新参数

    def policy_learn(self, obs, actions, advantages):         """ Learn policy:         1. Sync parameters of policy model to old policy model         2. Fix old policy model, and learn policy model multi times         3. if use KLPEN loss, Adjust kl loss coefficient: beta         """         self.alg.sync_old_policy()         all_loss, all_kl = [], []         for _ in range(self.policy_learn_times):             loss, kl = self._batch_policy_learn(obs, actions, advantages)             all_loss.append(loss)             all_kl.append(kl)         if self.loss_type == KLPEN:             # Adative KL penalty coefficient             if kl > self.kl_targ * 2: # 如果 KL 过大                 self.beta = 1.5 * self.beta # 则将惩罚系数增大             elif kl < self.kl_targ / 2: # 如果 KL 过小                 self.beta = self.beta / 1.5 # 则惩罚系数也对应减小         return np.mean(all_loss), np.mean(all_kl)     def value_learn(self, obs, value):         """ Fit model to current data batch + previous data batch         """         data_size = obs.shape[0]         if self.value_learn_buffer is None: # 缓存为空的时候             obs_train, value_train = obs, value # 读取状态值和价值到缓存         else:# 如果缓存中有数据,则把新数据和旧的数据进行拼接             obs_train = np.concatenate([obs, self.value_learn_buffer[0]])             value_train = np.concatenate([value, self.value_learn_buffer[1]])         self.value_learn_buffer = (obs, value) # 更新缓存为新数据         all_loss = []         for _ in range(self.value_learn_times):             random_ids = np.arange(obs_train.shape[0]) # 获取 id 列表             np.random.shuffle(random_ids) # 随机打乱训练数据             shuffle_obs_train = obs_train[random_ids]             shuffle_value_train = value_train[random_ids]             start = 0             while start < data_size:                 end = start + self.value_batch_size                 # 更新价值网络(新数据+旧数据)                 value_loss = self._batch_value_learn(                     shuffle_obs_train[start:end, :],                     shuffle_value_train[start:end])                 all_loss.append(value_loss)                 start += self.value_batch_size         return np.mean(all_loss)

搭建网络结构:

搭建 策略网络 policy model 和价值网络 value model,都用了 4 个全连接层。基于飞桨的架构,搭建的 神经网络 模型非常简单清晰。

class PolicyModel(PARL.Model):     def __init__(self, obs_dim, act_dim, init_logvar):         self.obs_dim = obs_dim         self.act_dim = act_dim         hid1_size = obs_dim * 10         hid3_size = act_dim * 10         hid2_size = int(np.sqrt(hid1_size * hid3_size))         self.lr = 9e-4 / np.sqrt(hid2_size)         self.fc1 = layers.fc(size=hid1_size, act=tanh)         self.fc2 = layers.fc(size=hid2_size, act=tanh)         self.fc3 = layers.fc(size=hid3_size, act=tanh)         self.fc4 = layers.fc(size=act_dim, act=tanh)         self.logvars = layers.create_parameter(             shape=[act_dim],             dtype=float32,             default_initializer=fluid.initializer.ConstantInitializer(                 init_logvar))     def policy(self, obs):         hid1 = self.fc1(obs)         hid2 = self.fc2(hid1)         hid3 = self.fc3(hid2)         means = self.fc4(hid3)         logvars = self.logvars()         return means, logvars     def sample(self, obs):         means, logvars = self.policy(obs)         sampled_act = means + (             layers.exp(logvars / 2.0) *  # stddev             layers.gaussian_random(shape=(self.act_dim, ), dtype=float32))         return sampled_act

完整代码可见 AI Studio 公开项目:

https://aistudio.baidu.com/aistudio/projectdetail/644829

文章小结

1. 关于模型

  • PPO模型确实非常强大,稳定性很好,最重要的是鲁棒性强,适用性广。所以该算法被 OpenAI 推出后,受到了业界的极大关注,后面强化学习 的进一步研究工作,也通常都会把 PPO 作为参照对象和对比基准
  • PPO提出的创新点,比如截断等操作,其实衍生性很好,不仅限于强化学习 领域,其他深度学习 方向也可以借鉴受益。
  • 最后不得不提的是百度 的 PaddlePaddle 和 PARL,这是一套完整的深度学习 强化学习 框架。从初期学习,到中期实践,到后期落地,这套框架给开发者和研究者带来了极大的便利。PARL 作为专精于强化学习 的框架,免除了我们重复造轮子的痛苦,可以专注于不同算法的核心优劣对比和研究,确实节约了我们大量的时间。就我自己而言,以后做相关的研究和论文撰写,PaddlePaddle 和 PARL 一定会是我的首选!

2.关于学习过程

  • 入门强化学习 时,发现最难搞的是理解核心的理念,比如关于奖励的概念,如何让奖励可以不断促使算法自我学习和进化,需要反复去琢磨和思考。
  • 学习过程中,相信最经典的理解障碍就是 On-policy 和 Off-policy 的理念对比了,初次接触的人可不容易搞明白,所幸当时科老师的课讲得细致清晰,生动形象,让这些常理来说很困难的部分可以迎刃而解。
  • 有了基础的强化学习 理念,往后就是对比和学习主流的强化学习 算法,这个时候网上的教程其实就稍显匮乏了,对于想要深入研究的同学,可以考虑从论文研读和代码实践两个板块同时入手,由此可对各种算法有深入的理解。

3.关于PPO训练过程

个人认为, 强化学习 的代码实践,包含以下几个重要的组成部分,每个部分都有其难点。

  • 实验环境搭建

初期我们会直接用 Gym 库里面提供的一些环境,几乎不费力气去搭建和调用,只要把 Gym 安装完成即可轻松实现。可越往后,当你想尝试各种高难度的环境时,比如一些机器人模拟环境,飞行器模拟环境,交通控制环境,甚至还有一些股票交易环境的时候,光是安装一个环境达到成功运行都是非常费时费力的。

这里实践 PPO,没有选用简单的 Gym 环境,挑战了一下安装 Mujoco,真的是一把辛酸泪,弄了整整一天才勉强跑通,期间无数次在 github 上 查询 各种 issue,然后进行各种尝试,各种重装。我只想说,那些可以一次安装成功的朋友真的是人品爆发才行!而且大家要有心理准备,以后安装别的环境只会更难~~。

  • 算法代码构建

如果是从 0 开始手动搭建代码,在现代社会几乎是无法想象的事情,所以站在巨人的肩膀上才是最重要的。而有了 PARL 这样的成熟框架,可以让我们有了搭建的基础,让算法代码构建稍稍轻松一点点!

把环境的交互,算法部分,学习部分,都分别做了基础框架,这不但让调用更加简单,其实也是让我们学习过程中对于整个 深度学习 的过程有了 分块 的清晰认知。

  • 训练调试

由于 PPO 算法的特性,决定了其稳定性比较好,所以不像 PG 这样的 强化学习 算法,常常遇到无法 收敛 的情况,很多时候又需要拼人品~~。PPO 就好多了,在训练前,设置好定期保存模型,然后就开始走起。另外要记得保存训练数据,用于后面绘图以看清楚整个训练过程。

开始训练 100,000 步左右,看看之前有没有 收敛 的趋势,没有的话就停掉重新调试程序,如果基本的算法和架构没有问题,可以尝试降低 学习率 来调试。

如果 收敛 趋势明显,那就可以放着让电脑训练,睡一觉以后看最后训练效果。可以看到最终的 收敛 曲线,也就是获得奖励上涨的趋势如本文开头的图示。调取训练过程中保存的中间模型,放到测试代码中开启渲染运行,就可以看到我们的小猎豹成长的过程喜人,从呆着不动,到乱七八糟地晃动,再到逐渐可以移动,最后可以比较顺畅地完成奔跑,整个过程还是让人很有成就感的!

飞桨PaddlePaddle课程链接:

百度 架构师手把手教 深度学习

https://aistudio.baidu.com/aistudio/course/introduce/888

强化学习 7日打卡营:

https://aistudio.baidu.com/aistudio/course/introduce/1335

如果您加入官方 QQ 群,您将遇上大批志同道合的 深度学习 同学。官方 QQ 群:

1108045677。

如果您想详细了解更多飞桨的相关内容,请参阅以下文档。

·官网地址·

https://www.paddlepaddle.org.cn/

·飞桨PARL开源项目地址·

GitHub: 

https://github.com/PaddlePaddle/PARL

Gitee: 

https://gitee.com/paddlepaddle/ PARL

飞桨PaddlePaddle
飞桨PaddlePaddle

飞桨(PaddlePaddle)是中国首个自主研发、功能完备、开源开放的产业级深度学习平台。

https://www.paddlepaddle.org
专栏二维码
工程 百度飞桨 PARL PPO
1
发表评论
评论通过审核后显示。
文章分类
联系我们
联系人: 透明七彩巨人
Email: weok168@gmail.com
网址: ai.tmqcjr.com